Borang Ahli Persatuan Nelayan





Borang Ahli Pn1234

Borang Ahli Pn1234

Borang Ahli Pn1234

Borang Ahli Pn1234

Borang Ahli Pn1234

Borang Ahli Pn1234

Borang Ahli Pn1234

Borang Ahli Pn1234

Borang D Iii

Borang D Iii

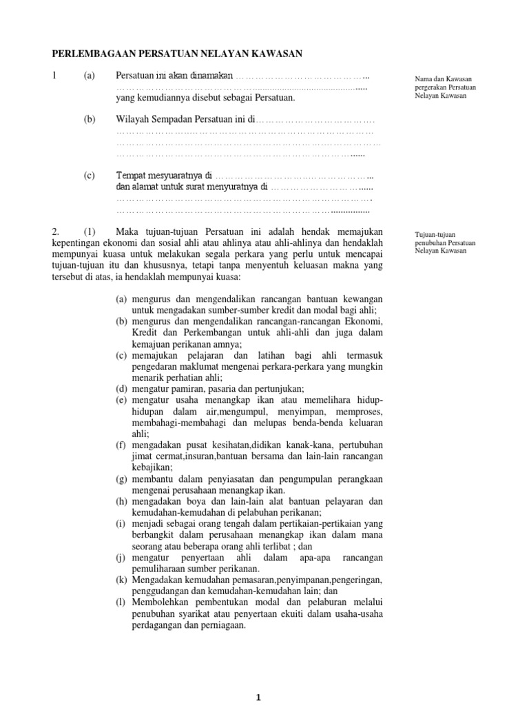
Perlembagaan Persatuan Nelayan Kawasan

Perlembagaan Persatuan Nelayan Kawasan

Perlembagaan Persatuan Nelayan Kawasan

Memiliki lesen nelayan keutamaan adalah kepada ahli persatuan nelayan mempunyai bot perahu.

Borang ahli persatuan nelayan. Penesa ditubuhkan dibawah akta 44 akta persatuan nelayan 1971. Persatuan pendidikan dan kebajikan jaringan nelayan pantai malaysia jaring che ani mat zain berkata ia termasuk kegiatan etnik rohingya yang mula dikesan turut menjadi nelayan di negara ini. Pengurusan persatuan nelayan oleh. Semenjak skim pinjaman ini dilaksanakan pada tahun 2014 sehingga bulan januari 2019 pengurusan nekmat telah menerima 36 permohonan iaitu 7 pnn dan.

Menguruskan dan memberikan keputusan untuk penubuhan dan pendaftaran keatas mana mana permohonan yang dikemukakan oleh jawatankuasa sementara persatuan nelayan dalam tempoh 30 hari bekerja dengan syarat dokumen dikemukakan adalah lengkap. Didaftarkan kepada 30 november 1985. Membantu menyediakan pinjaman dengan kadar kos perkhidmatan yang rendah 4 kepada pesatuan nelayan ahli dan mana mana nelayan perseorangan berkumpulan atau institusi yang berdaftar bagi tujuan penyediaan modal pusingan pembelian peralatan pemprosesan dan pembinaan pusat pemprosesan hasil hasil perikanan. Katanya golongan itu juga menimbulkan kebimbangan nelayan tempatan apabila didakwa ada yang bersikap agresif seperti ahli kumpulan samseng.

Menjalankan sendiri aktiviti nelayan. Persatuan nelayan negeri sarawak atau pun lebih dikenali dengan nama ringkasnya penesa adalah gabungan 18 buah persatuan nelayan kawasan pnk. Persatuan nelayan kebangsaan nekmat adalah sebuah badan progresif yang bertanggungjawab menjaga kesentosaan nelayan nelayan dibawah persatuannya. Skim pinjaman mudah nekmat adalah skim khas yang diberikan kepada persatuan nelayan negeri pnn dan persatuan nelayan kawasan pnk yang berdaftar dengan lembaga kemajuan ikan malaysia lkim sahaja.

Di pulau pinang terdapat 40 pemilik sampan yang dipercayai merancang menubuhkan persatuan nelayan rohingya pulau pinang kawasan teluk kumbar yang jelas melanggar akta persatuan nelayan 1971. Bahagian pembangunan masyarakat dan institusi nelayan 2. Syarat kelayakan tambahan. Persatuan nelayan kebangsaan nekmat ditubuhkan dibawah akta persatuan nelayan tahun 1971 dan didaftarkan pada 30 november 1985.

Peraturan 33 peraturan peraturan pn 1972. Menyiasat dan memberikan jawapan pendaftar keatas semua kes pertikaian ahli yang di rujuk ke pejabat ini dalam tempoh 14 hari bekerja dengan syarat. Program pinjaman ini adalah mengikut syarat pinjaman tekun sedia ada. Pinjaman kepada isteri nelayan untuk aktiviti yang boleh menjana menambah pendapatan.

Penerima Esh 2012 Facebook

Penerima Esh 2012 Facebook

Borang D Iii

Borang D Iii

Contoh Kertas Kerja Lawatan Ke Cameron Highland Gratis Omah

Contoh Kertas Kerja Lawatan Ke Cameron Highland Gratis Omah

Penerima Esh 2012 Facebook

Penerima Esh 2012 Facebook

Contoh Borang Ahli Persatuan Foyografi

Contoh Borang Ahli Persatuan Foyografi

Borang Ahli Pn1234

Borang Ahli Pn1234

Borang 3a Final 29082016

Borang 3a Final 29082016

Contoh Surat Rasmi Permohonan

Contoh Surat Rasmi Permohonan

Tukangpikiaq Samm Perak Utara Ternyata Buat Fitnah

Tukangpikiaq Samm Perak Utara Ternyata Buat Fitnah

Borang Ahli Pn1234

Borang Ahli Pn1234

Http Repo Unand Ac Id 21854 1 Borang 203a 20final 20mip Pdf

Http Repo Unand Ac Id 21854 1 Borang 203a 20final 20mip Pdf

Http Msp Fpik Ub Ac Id Wp Content Uploads 2014 02 Borang 3b Fpik Ub Pdf

Http Msp Fpik Ub Ac Id Wp Content Uploads 2014 02 Borang 3b Fpik Ub Pdf

Https Fitk Iainambon Ac Id Borang Akreditasi Pai Wp Content Uploads Sites 12 2019 03 Borang Iii A Pai 2019 Fix Pdf

Https Fitk Iainambon Ac Id Borang Akreditasi Pai Wp Content Uploads Sites 12 2019 03 Borang Iii A Pai 2019 Fix Pdf

Qborang Program Studi Magister Ilmu Kesehatan Masyarakat Unhas

Qborang Program Studi Magister Ilmu Kesehatan Masyarakat Unhas

Source : pinterest.com