Borang Maklumat Asas Guru





Doc Borang Maklumat Peribadi Guru Bil Butir Peribadi Hamzah

Doc Borang Maklumat Peribadi Guru Bil Butir Peribadi Hamzah

Contoh Borang Maklumat Asas Sekolah

Contoh Borang Maklumat Asas Sekolah

Borang Maklumat Guru Panitia

Borang Maklumat Guru Panitia

Borang Maklumat Guru Panitia Sendiri

Borang Maklumat Guru Panitia Sendiri

Borang Maklumat Asas Guru Pdf

Borang Maklumat Asas Guru Pdf

Borang Permohonan Pelepasan Guru Dan Murid

Borang Permohonan Pelepasan Guru Dan Murid

Borang Permohonan Pelepasan Guru Dan Murid

Disini saya ingin share contoh borang maklumat buku guru fail rph.

Borang maklumat asas guru. Borang maklumat guru kepada semua guru smk paka boleh muat turun borang maklumat guru yang disediakan di ruang info sains pada blog ini. Permohonan telah dibuka untuk guru ganti sekolah rendah sekolah menengah. Use the download button below or simple online reader. Pemohonyang berkelayakan serta yang minat dalam bidang perguruan ini diminta untuk ikuti langkah permohonan seperti di bawah.

Maklumlah sekolah saya sekarang ni dah tak guna lagu buku rekod mengajar. Ia bertujuan bagi memudahkan tugas perguruan secara online. Maklumat asas akademik dan ikhtisas guru. Posted by smk paka at 1 30 am.

Permohonan guru ganti 2020. Diingatkan borang ini adalah borang mendaftar murid sebagai pengguna sps dan merupakan maklumat asas murid isikan maklumat yang di perlukan seperti dinyata pada nota ringkas disebelah. Share to twitter share to facebook share to pinterest. Kalau sesiapa nak download boleh download disini terima kasih.

Harap maklumat ini dapat membantu para guru dalam menyediakan fail fail panitia dengan lebih terurus dan kemas. Mengikut senarai semak no fail yang kesepuluh meliputi maklumat guru seperti jadual waktu persendirian maklumat asas akademik dan ikhtisas guru serta sijil sijil penyertaan penghargaan panitia. Borang butir diri guru there is document borang butir diri guru available here for reading and downloading. Borang senarai semak kandungan fail fail panitia.

The file extension pdf and ranks to the documents category. Berikut merupakan bahan berkaitan dengan maklumat guru. Borang kategori 1a guru 2 doc there is document borang kategori 1a guru 2 doc available here for reading and downloading. The file extension pdf and ranks to the documents category.

Klik pautan untuk memuat turun borang senarai semak kandungan fail fail panitia. Maklumat diri guru buku rph rancangan tahunan pendidikan kesihatan kssr tahun 1. Setelah menu tambah murid diklik paparan borang maklumat murid akan dipaparkan. Jawatan kosong 2020 ini dibuka kepada warganegara malaysia yang berumur 18 tahun ke atas.

Maklumat permohonan guru ganti gaji rate guru ganti.

Borang Maklumat Asas Aktiviti Gerak Kerja Kokurikulum Bagi Guru 2013

Borang Maklumat Asas Aktiviti Gerak Kerja Kokurikulum Bagi Guru 2013

Pengisian Maklumat Dan Dokumen Dalam Folio Oleh Guru Baharu

Pengisian Maklumat Dan Dokumen Dalam Folio Oleh Guru Baharu

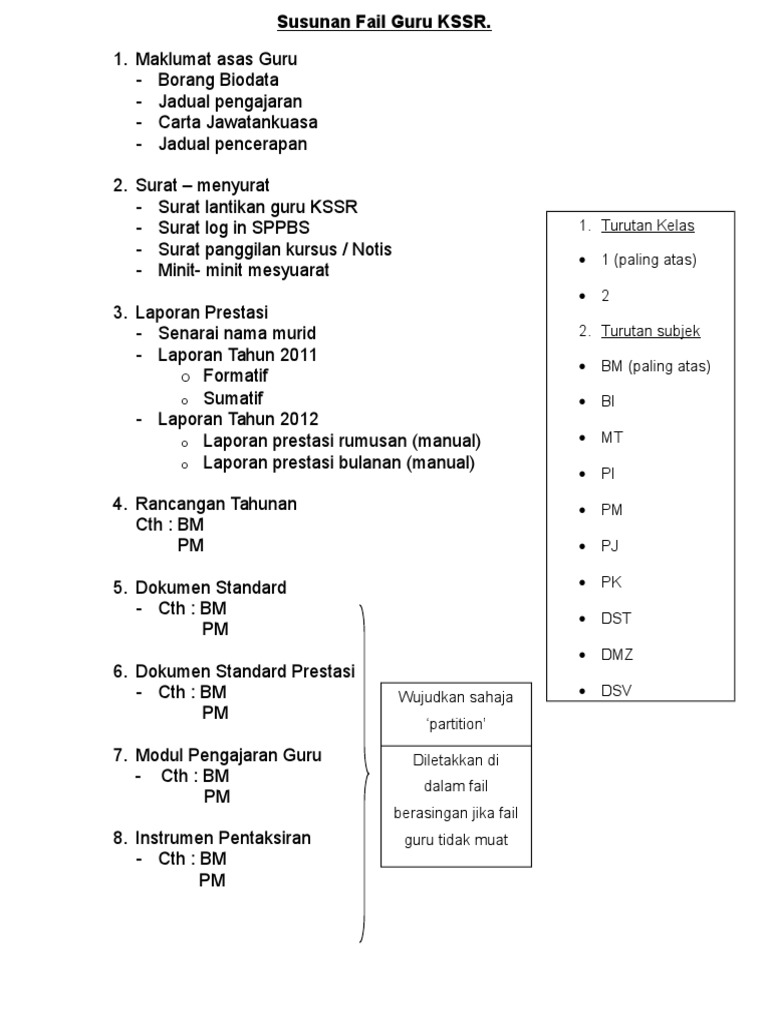
Susunan Fail Guru Kssr

Susunan Fail Guru Kssr

Pengisian Maklumat Dan Dokumen Dalam Folio Oleh Guru Baharu

Pengisian Maklumat Dan Dokumen Dalam Folio Oleh Guru Baharu

Borang Pencerapan Pengajaran Dan Pembelajaran

Borang Pencerapan Pengajaran Dan Pembelajaran

Borang Maklumat Asas Aktiviti Gerak Kerja Kokurikulum Bagi Guru 2013

Borang Maklumat Asas Aktiviti Gerak Kerja Kokurikulum Bagi Guru 2013

Borang Pencerapan Pengajaran Dan Pembelajaran Docx Document

Borang Pencerapan Pengajaran Dan Pembelajaran Docx Document

Isi Kandungan Folio Program Pembangunan Guru Baharu

Isi Kandungan Folio Program Pembangunan Guru Baharu

Borang Maklumat Peribadi Panitia Bahasa Melayu Doc

Borang Maklumat Peribadi Panitia Bahasa Melayu Doc

Blog Archives Coollup

Blog Archives Coollup

Contoh Biodata Guru Cemerlang Vrasmi

Contoh Biodata Guru Cemerlang Vrasmi

Contoh Etika Guru Contoh Agus Cuitan Dokter

Contoh Etika Guru Contoh Agus Cuitan Dokter

Maklumat Asas Tender Institut Pendidikan Guru Kampus Batu

Maklumat Asas Tender Institut Pendidikan Guru Kampus Batu

Senarai Kandungan Fail Panitia Lengkap Fails Bullet Journal

Senarai Kandungan Fail Panitia Lengkap Fails Bullet Journal

Source : pinterest.com