Borang Online Nikah Jawi

Pastikan tarikh cadangan berkahwin tidak melebihi 90 hari.
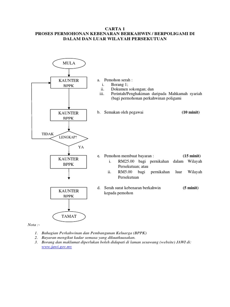
Borang online nikah jawi. Anda dan pasangan dikehendaki hadir ke pejabat agama islam daerah masing masing bagi proses kelulusan permohonan. Mykad baru lama polis tentera passport sila masukkan salah satu sahaja yang akan digunakan oleh anda untuk daftar masuk nanti. Permohonan online perlu diisi sekiranya lelaki dan perempuan bukan dari negeri yang menggunakan sppim tetapi tempat bernikah di negeri yang menggunakan sppim. Hakcipta terpelihara 2014 jawi jabatan agama islam wilayah persekutuan kompleks pusat islam jalan perdana.
Borang permohonan akad nikah melalui sidang video. E mel notifikasi bersama borang dan senarai semak permohonan akan dihantar kepada alamat e mel anda dalam masa terdekat. Dengan kata sepakat dan persetujuan yang telah dibuat pada 18 april 2020 sabtu jawi telah laksanakan nikah online pertama di malaysia sejak pkp berlangsung acara tersebut telah disaksikan sendiri menteri di jabatan perdana menteri hal ehwal agama senator datuk dr zulkifli mohamad al bakri dan pengarah jawi mohd ajib ismail seperti yang dilaporkan oleh alhijrahnews. Proses kelulusan bagi permohonan perempuan akan hanya diberikan selepas permohonan kebenaran nikah lelaki.
Borang permohonan kebenaran nikah online 2020 seluruh negeri berikut dikongsikan maklumat berkaitan aplikasi dan cara permohonan kebenaran berkahwin nikah 2020 secara online. Borang permohonan perintah pengesahan pendaftaran perkahwinan 4p. Bertanggungjawab menjalankan penyeliaan dan kawalan terhadap pengeluaran dan pendaftaran sijil nikah cerai dan ruju di wilayah persekutuan. Nikah cerai dan ruju.
Pemohon bagi negeri sembilan melaka perlis kedah perak dan wilayah persekutuan kuala lumpur putrajaya dan labuan. Borang permohonan akad nikah melalui sidang video. Borang pergerakkan pembelian terus ep. Hakcipta terpelihara 2014 jawi jabatan agama islam wilayah persekutuan kompleks pusat islam jalan perdana 50676 kuala lumpur tel.
Borang pemohon perempuan yang telah disahkan oleh penolong pendaftar perkahwinan jurunikah kariah di kariah beserta dokumen yang diperlukan dan kebenaran berkahwin daripada pihak lelaki hendaklah dikemukakan ke bahagian perkahwinan dan pembangunan keluarga jawi. Sekiranya proses muat turun tidak berjaya dilakukan. Diisi oleh salah seorang sama ada lelaki atau perempuan. Borang jawi up 01 pin 2014 bekalan borang jawi up 02 pin 2014 perkhidmatan borang jawi up 03 latihan kursus bengkel seminar.
Sedia maklum permohonan kebenaran berkahwin online pada masa ini hanya meliputi permohonan yang dibuat di negeri negeri sembilan melaka perlis kedah perak dan wilayah persekutuan. Sekiranya proses muat turun tidak berjaya dilakukan.