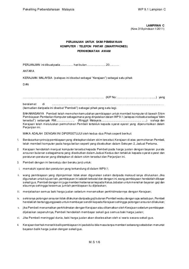
Borang Perjanjian Pinjaman Komputer

Borang pinjaman pembiayaan harta butir peribadi ak 1 kew 322 yang telah dipenuhkan dikembarkan bersama sama ini.
Borang perjanjian pinjaman komputer. Kumpulanwang amanah pinjaman komputer kod 854501 i. Rujuk kerani di sekolah jabatan masing masing. Kepada yang berminat untuk memohon bolehlah mengisi borang permohonan pembiayaan komputer dan telefon pintar. Cara memohon pinjaman komputer kerajaan 2017.
Surat pengesahan wang beza sekiranya harga komputer yang dipohon melebihi jumlah pinjaman yang diluluskan. Pekeliling pinjaman komputer 2012. Dokumen sebutharga tersebut haruslah mempunyai nama syarikat dan atau bertandatangan oleh wakil penjual. Ii semak kelayakan dan jumlah tempoh pinjaman berdasarkan peraturan peraturan semasa yang berkuatkuasa.
Perjanjian pinjaman kenderaan atau perjanjian al bithaman ajil untuk skim pembiayaan kenderaan ka df040 byr 6. Dia minta saya ke unit kewangan jabatan pendidikan selangor untuk mendapatkan borang. Borang permohonan pembiayaan komputer telefon pintar smartphones bagi pegawai upm sok kew br019 byr garis panduan pinjaman pembiayaan kenderaan. Nak buat overlap dah tak boleh jadi saya bulatkan hati untuk cuba pinjaman kerajaan pula.
Tiga salinan borang komputer 2. Jabatan akauntan negara malaysia janm aras 1 8 kompleks kementerian kewangan no 1 persiaran perdana presint 2 62594 putrajaya. I pinjaman diberi sekali sahaja dalam tempoh tiga 3 tahun dengan syarat pinjaman yang ada telah diselesaikan. Borang permohonan hendaklah disediakan sebanyak tiga 3 salinan dan dikemukakan kepada bahagian kewangan kementerian jabatan pegawai.
Senarai semak klik untuk besarkan. Borang opsyen pemilihan umur persaraan. Borang perjanjian pembiayaan komputer kew. 3 0 cap tarikh terima pada muka surat hadapan borang tersebut.
Pemohon layak membuat permohonan setiap 3 tahun dengan syarat telah menyelesaikan pinjaman terdahulu bagi pegawai yang pernah memohon. Pinjaman komputer syarat syarat pinjaman komputer dan dokumen dokumen yang perlu disertakan bersama sama borang permohonan ini ialah. Pemprosesan pinjaman pegawai berasaskan senarai tindakan i proses kerja di para 4 pemprosesan permohonan diasaskan kepada notis pergerakan. Tandatangan asal pada setiap borang.
Saya bertanya kepada kerani tetapi dia pun tak tahu sebab belum ada guru yang membuat pinjaman komputer di sekolah ini. Had pinjaman maksimum bagi komputer dan telefon pintar adalah rm5 000 dengan tempoh bayaran balik ansuran maksimum selama 48 bulan 4 tahun. 318 lampiran b senarai semak yang digunakan untuk proses permohonan pinjaman komputer adalah seperti di lampiran c.