Format Borang Ak52





Borang Ak 52

Borang Ak 52

Borang Ak 52

Borang Ak 52

Borang Ak 52

Borang Ak 52

Borang Ak52

Borang Ak52

Upd Borang Ak52

Upd Borang Ak52

Borang Ak 52 Kewangan

Borang Ak 52 Kewangan

Borang Ak 52 Kewangan

Borang ak52 seperti di lampiran.

Format borang ak52. 0 0 mendukung 0 0 menolak. Contoh borang keberhasilan contoh borang keahlian contoh borang soal selidik contoh borang cuti contoh borang cuti rehat contoh borang ak52 contoh borang keberhasilan contoh borang soal selidik kepuasan pelanggan contoh borang pbppp 2016 contoh borang cuti tanpa gaji contoh borang permohonan kerja contoh borang pengesahan pendapatan contoh borang maklumat diri. Borang kumpul cuti rehat guru 10. Bersama sama ini disertakan borang permohonan dan senarai semak kuasa tetap ak52 yang telah dikemaskini untuk perhatian dan tindakan pihak y bhg.

Borang permohonan guru ganti kgsk excel 12. Bersama sama ini disertakan borang permohonan dan senarai semak kuasa tetap ak52 yang telah dikemaskini untuk perhatian dan tindakan pihak y bhg. Contoh kerja kursus geografi 2011 1. Sekiranya terdapat sebarang pertukaran pegawai yang bertanggungjawab mengesah dan menunaikan cek eft pihak tuan hendaklah mengemukakan tiga 3 set borang seperti berikut.

Pelbagai borang berkaitan sekolah dan jabatan 9. Borang permohonan cuti bersalin 14. Datuk dato datin tuan puan selanjutnya. Attribution non commercial by nc format tersedia.

Borang kew p s baru 2019 8. Contoh borang kaji selidik kilang contoh o. Borang ini adalah tambahan kepada format a sedia ada dan perlu dikemukakan kepada pihak kami selewat lewatnya pada 31 mei 2016. Datuk dato datin tuan puan selanjutnya.

4 2 5 pungutan yang dibuat oleh guru kelas hendaklah direkodkan dalam borang kutipan dan serahan guru ke pejabat seperti format di lampiran 4 3 diisi dalam dua 2 salinan dan satu salinan diserahkan bersama. Borang permohonan guru ganti kgsk word 13. I pembayaran melalui baucar kecil penyedia peraku i ii arahan pembayaran apungan panjar rekupmen panjar penyedia. Unduh sebagai doc pdf txt atau baca online dari scribd.

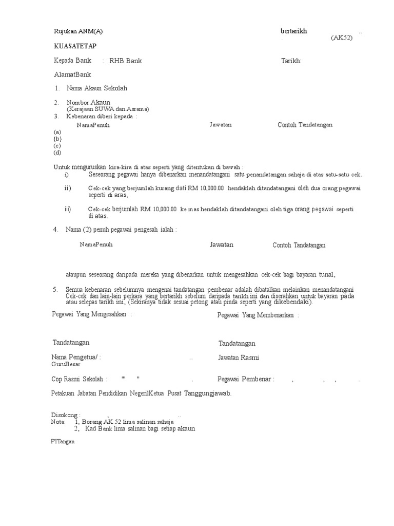
Kuasa tetap borang ak52 dan dinyatakan dengan jelas dalam jadual penetapan kuasa dan tugas pegawai pengawal kepada pegawai pegawai dibawah kawalannya ptj. Simpan simpan borang ak52 untuk nanti. Pengurus sekolah hendaklah memastikan bahawa nombor resit serta jumlahnya direkod di dalam ruangan yang disediakan dalam buku tersebut. Borang maklumat diri hrmis 11.

Garis panduan ini adalah berkuatkuasa serta merta dan sila pastikan format yang terkini digunakan bagi permohonan kuasa tetap ak52. By servyoutube last updated. Tandai sebagai konten tidak pantas. Borang ak52 kuasa tetap cek 2019 baru 6.

Ak 52 New

Ak 52 New

Borang Ak 52 Kewangan

Borang Ak 52 Kewangan

Ak52 Kerajaan

Ak52 Kerajaan

Borang Ak52

Borang Ak52

Borang Ak52

Borang Ak52

Senarai Semak Ak52 Pindaan Disember 2012 Docx

Senarai Semak Ak52 Pindaan Disember 2012 Docx

Http Www Anm Gov My Images Janm Ao Penang 06 Muat Turun Arahan Operasi Taklimat Spanm Bil 6 2018 Pdf

Http Www Anm Gov My Images Janm Ao Penang 06 Muat Turun Arahan Operasi Taklimat Spanm Bil 6 2018 Pdf

Ak52 Kpm 2019

Ak52 Kpm 2019

Contoh Surat Kuasa Tanda Tangan Cek Contoh Qq Cuitan Dokter

Contoh Surat Kuasa Tanda Tangan Cek Contoh Qq Cuitan Dokter

Blog Archives Coolofiles

Blog Archives Coolofiles

2

2

Borang Ak52 Download Pdf

Borang Ak52 Download Pdf

Format Contoh Tandatangan

Format Contoh Tandatangan

Borang Ak52

Borang Ak52

Source : pinterest.com