Borang Pengakuan Pendapatan Uitm

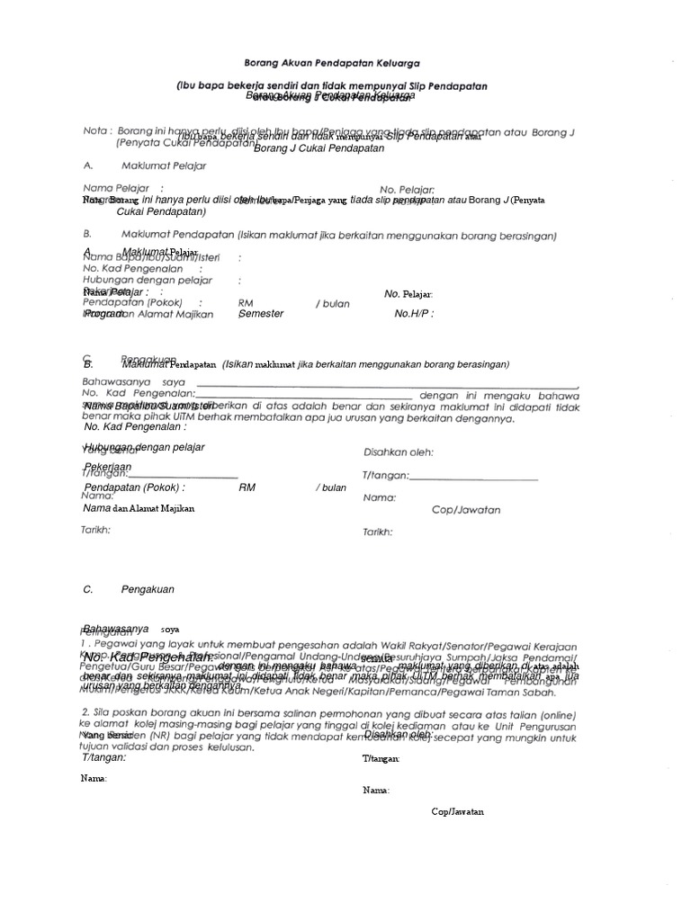
Borang akuan pendapatan keluarga ibu bapa bekerja sendiri dan tidak mempunyai slip pendapatan atau borang j cukai pendapatan nota.
Borang pengakuan pendapatan uitm. Borang ini adalah percuma hanya borang yang lengkap akan diproses 500 19 3 1 a jld 1 2020 salinan kad pengenalan pemohon ibu bapa kandung salinan spm spm ulangan salinan sijil kelahiran pemohon ibu bapa kandung salinan penyata gaji surat pengesahan pendapatan ibu bapa rekod akademik di uitm kolej kolej bersekutu uitm program. Borang perjawatan uitm 76 13 iii pindaan 8 2007 sila lekatkan sekeping gambar berukuran pasport. Universiti teknologi mara 23000 dungun. Saya mengaku bahawa segala keterangan di atas adalah benar dan betul.
Maklumat pelajar nama pelajar. Laman ini memaparkan maklumat berkaitan profil struktur perkhidmatan repositori dan direktori staf pejabat pendaftar serta lain lain maklumat penting untuk rujukan agensi kerajaan pusat tanggungjawab staf pelajar dan orang awam. Borang ini hanya perlu diisi oleh ibu bapa penjaga yang tiada slip pendapatan atau borang j penyata cukai pendapatan a. Maklumat pendapatan isikan maklumat jika berkaitan menggunakan.
Bil nama hubungan umur sek kolej ipt. Pekeliling pendaftar bilangan 20 tahun 2019 tawaran kenaikan pangkat staf pentadbiran bagi kumpulan pengurusan dan profesional 76 19 kb. Program semester no h p. Dokumen dokumen yang telah disahkan hendaklah dikepilkan dengan borang ini mengikut susunan berikut 1.
Saya mengaku bahawa segala keterangan di atas adalah benar dan betul. Borang pengesahan akuan pendapatan rujukan. Uitm borang pengakuan dan pemeriksaan kesihatan 34 87 kb. Borang pembayaran pendapatan bulanan melalui bank.